위상정렬
사이클이 없는 방향 그래프의 모든 노드를 방향성에 거스르지 않도록 순서대로 나열하는 것
이 알고리즘이 왜 필요할까? 어느 문제에서 사용할까?
예를들어, 대학교 커리큘럼처럼 선수과목이 있는 과목이 있다고 가정해보자.

고급 알고리즘을 수강하기 위해서는
자료구조 -> 알고리즘 -> 고급 알고리즘의 순서로 수강해야한다.
자료구조 -> 고급알고리즘 -> 알고리즘 의 순서로는 수강할 수 없다.
이와같이, 방향그래프의 방향성에 거스르지 않도록 나열해야하는 문제에서 위상정렬을 사용할 수 있다.
진입차수와 진출차수
위상정렬을 구현하기 위해서 진입차수와 진출차수의 개념을 짚고 넘어가야 한다.
진입차수 : 특정한 노드로 들어오는 간선의 개수
진출차수 : 특정한 노드에서 나가는 간선의 개수

위상 정렬 알고리즘 구현 방법
- 진입 차수가 0인 모든 노드를 큐에 넣는다.
- 큐가 빌 때까지 다음의 과정을 반복한다.
1) 큐에서 원소를 꺼내 해당 노드에서 나가는 간선을 그래프에서 제거한다.
2) 새롭게 진입차수가 0이 된 노드를 큐에 넣는다. - 결과적으로 각 노드가 큐에 들어온 순서가 위상 정렬을 수행한 결과와 같다.
조건
그래프는 사이클이 없는 방향 그래프이어야 한다.
D(Direct) A(Acycle) G(Graph)
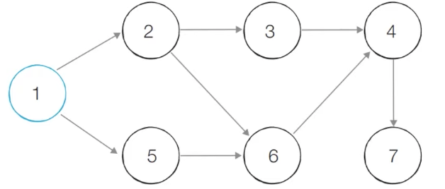
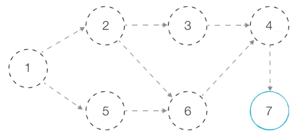
진입 차수가 0인 노드 1을 큐에 넣는다.

| 노드 | 1 | 2 | 3 | 4 | 5 | 6 | 7 |
| 진입차수 | 0 | 1 | 1 | 2 | 1 | 2 | 1 |
| 큐 | 1 |
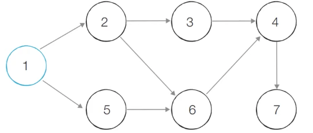
1. 큐에서 노드 1을 꺼낸 후 노드 1에서 나가는 간선을 제거한다. = 노드 2와 5의 진입차수를 1 감소시킨다.
2. 새롭게 진입차수가 0이 된 노드들을 큐에 삽입한다. (2, 5)

| 노드 | 1 | 2 | 3 | 4 | 5 | 6 | 7 |
| 진입차수 | 0 | 0 | 1 | 2 | 0 | 2 | 1 |
| 큐 | 2, 5 |
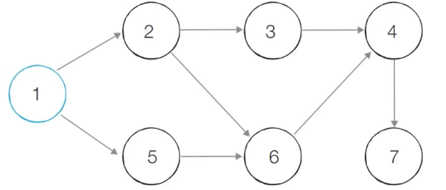
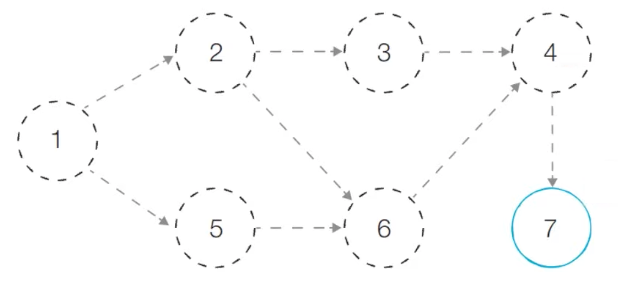
1. 큐에서 노드 2을 꺼낸 후 노드 2에서 나가는 간선을 제거한다. = 노드 3과 6의 진입차수를 1 감소시킨다.
2. 새롭게 진입차수가 0이 된 노드들을 큐에 삽입한다. (3)

| 노드 | 1 | 2 | 3 | 4 | 5 | 6 | 7 |
| 진입차수 | 0 | 0 | 0 | 2 | 0 | 1 | 1 |
| 큐 | 5, 3 |
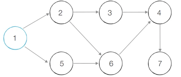
1. 큐에서 노드 5를 꺼낸 후 노드 5에서 나가는 간선을 제거한다. = 노드 6의 진입차수를 1 감소시킨다.
2. 새롭게 진입차수가 0이 된 노드들을 큐에 삽입한다. (6)

| 노드 | 1 | 2 | 3 | 4 | 5 | 6 | 7 |
| 진입차수 | 0 | 0 | 0 | 2 | 0 | 0 | 1 |
| 큐 | 3, 6 |
1. 큐에서 노드 3를 꺼낸 후 노드 3에서 나가는 간선을 제거한다. = 노드 4의 진입차수를 1 감소시킨다.
2. 새롭게 진입차수가 0이 된 노드들을 큐에 삽입한다. (없음)

| 노드 | 1 | 2 | 3 | 4 | 5 | 6 | 7 |
| 진입차수 | 0 | 0 | 0 | 1 | 0 | 0 | 1 |
| 큐 | 6 |
1. 큐에서 노드 6를 꺼낸 후 노드 6에서 나가는 간선을 제거한다. = 노드 4의 진입차수를 1 감소시킨다.
2. 새롭게 진입차수가 0이 된 노드들을 큐에 삽입한다. (4)

| 노드 | 1 | 2 | 3 | 4 | 5 | 6 | 7 |
| 진입차수 | 0 | 0 | 0 | 0 | 0 | 0 | 1 |
| 큐 | 4 |
1. 큐에서 노드 4를 꺼낸 후 노드 4에서 나가는 간선을 제거한다. = 노드 7의 진입차수를 1 감소시킨다.
2. 새롭게 진입차수가 0이 된 노드들을 큐에 삽입한다. (7)

| 노드 | 1 | 2 | 3 | 4 | 5 | 6 | 7 |
| 진입차수 | 0 | 0 | 0 | 0 | 0 | 0 | 0 |
| 큐 | 7 |
1. 큐에서 노드 7를 꺼낸 후 노드 7에서 나가는 간선을 제거한다. = 제거할 간선 없음
2. 새롭게 진입차수가 0이 된 노드들을 큐에 삽입한다. (없음)

| 노드 | 1 | 2 | 3 | 4 | 5 | 6 | 7 |
| 진입차수 | 0 | 0 | 0 | 0 | 0 | 0 | 0 |
| 큐 |
결과
1 -> 2 -> 5 -> 3 -> 6 -> 4 -> 7

특징
- 큐에 새롭게 들어가는 원소가 2개 이상인 경우에는 여러가지 답이 존재할 수 있다.
(이 경우에는 새롭게 들어가는 원소가 2개 이상일때 정보를 저장해 활용하면 될 것이다.) - 모든 원소를 방문하기 전에 큐가 빈다면 사이클이 존재한다고 판단할 수 있다.
(사이클에 포함된 원소 중에서 어떠한 원소도 큐에 들어가지 못하기 때문이다.) - 스택을 이용한 DFS 에서도 위상 정렬을 수행할 수 있다.
소스 코드
from collections import deque
def topolgy_sort():
result = []
q = deque()
for i in range(1, v+1):
if indegree[i] == 0:
q.append(i)
while q:
now = q.popleft()
result.append(now)
for i in graph[now]:
indegree[i] -= 1
if indegree[i] == 0:
q.append(i)
for i in result:
print(i, end=' ')
v, e = map(int, input().split())
indegree = [0] * (v+1)
graph = [[] for i in range(v+1)]
for _ in range(e):
a, b = map(int, input().split())
graph[a].append(b)
indegree[b] += 1
topolgy_sort()
입력
7 8
1 2
1 5
2 3
2 6
3 4
4 7
5 6
6 4
출력

위상정렬의 시간복잡도
위상 정렬을 수행할때 모든 노드(V)를 확인하며 각 노드에서 나가는 간선(E)을 차례대로 제거한다.
한번 확인한 간선이나 노드는 다시 확인하지 않는다.
O(V + E)
'Algorithm > 기타 그래프 이론' 카테고리의 다른 글
| 신장트리와 크루스칼 알고리즘 (0) | 2021.03.29 |
|---|---|
| Union Find 자료구조 이론 (0) | 2021.03.29 |