목차 (클릭시 해당 목차로 이동)
과제
- int 값을 가지고 있는 이진 트리를 나타내는 Node 라는 클래스를 정의하세요.
- int value, Node left, right를 가지고 있어야 합니다.
- BinrayTree라는 클래스를 정의하고 주어진 노드를 기준으로 출력하는 bfs(Node node)와 dfs(Node node) 메소드를 구현하세요.
- DFS는 왼쪽, 루트, 오른쪽 순으로 순회하세요.
Node.class
package javastudy.ch5.assignment;
public class Node {
private int value;
private Node left;
private Node right;
public Node() {
this.left = null;
this.right = null;
}
public Node(int value) {
this.value = value;
this.left = null;
this.right = null;
}
public int getValue() {
return value;
}
public void setValue(int value) {
this.value = value;
}
public Node getLeft() {
return left;
}
public void setLeft(Node left) {
this.left = left;
}
public Node getRight() {
return right;
}
public void setRight(Node right) {
this.right = right;
}
}
BinaryTree
package javastudy.ch5.assignment;
import java.util.*;
public class BinaryTree {
private Node root;
private int size;
public BinaryTree() {
this.root = null;
this.size = 0;
}
public int getSize() {
return size;
}
public void insertNode(Node node) {
this.size += 1;
if (root == null) {
root = node;
return;
}
Node parentNode = root;
Node currentNode = root;
boolean isLeft = true;
while (currentNode != null) {
parentNode = currentNode;
if (node.getValue() < currentNode.getValue()) {
currentNode = currentNode.getLeft();
isLeft = true;
} else {
currentNode = currentNode.getRight();
isLeft = false;
}
}
if (isLeft) {
parentNode.setLeft(node);
} else {
parentNode.setRight(node);
}
}
public List<Integer> bfs(Node node) {
if (node == null) {
throw new NullPointerException("node is null");
}
Queue<Node> queue = new LinkedList<>();
List<Integer> result = new ArrayList<>();
queue.add(node);
while (queue.size() != 0) {
Node currentNode = queue.poll();
result.add(currentNode.getValue());
if (currentNode.getLeft() != null) {
queue.add(currentNode.getLeft());
}
if (currentNode.getRight() != null) {
queue.add(currentNode.getRight());
}
}
return result;
}
public List<Integer> dfs(Node node) {
if (node == null) {
throw new NullPointerException("node is null");
}
Stack<Node> stack = new Stack<>();
stack.push(node);
List<Integer> result = new ArrayList<>();
dfs(node, stack, result);
return result;
}
private void dfs(Node node, Stack<Node> stack, List<Integer> result) {
Node currentNode = stack.pop();
result.add(node.getValue());
if (currentNode.getLeft() != null) {
stack.push(currentNode.getLeft());
dfs(currentNode.getLeft(), stack, result);
}
if (currentNode.getRight() != null) {
stack.push(currentNode.getRight());
dfs(currentNode.getRight(), stack, result);
}
}
}
Test

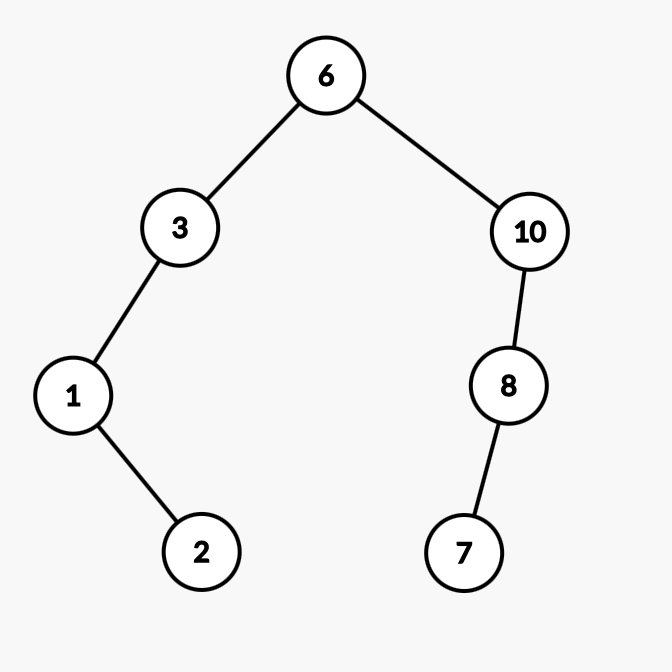
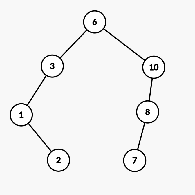
BFS (너비 우선 탐색) 순회 결과
루트와 가까운 것부터 탐색하므로
6 -> 3 -> 10 -> 1 -> 8 -> 2 -> 7 가 나와야 합니다.
DFS (깊이 우선 탐색) 순회 결과
루트부터 가장 깊은곳까지 탐색하므로 (과제 상에선 왼쪽노드부터)
6 -> 3 -> 1 -> 2 -> 10 -> 8 -> 7 가 나와야 합니다.
package javastudy.ch5.assignment;
import org.apache.commons.lang3.StringUtils;
import org.junit.jupiter.api.Assertions;
import org.junit.jupiter.api.Test;
import java.util.ArrayList;
import java.util.Arrays;
import java.util.List;
import static org.junit.jupiter.api.Assertions.*;
class BinaryTreeTest {
@Test
public void BinaryTreeTest() throws Exception {
//given
BinaryTree tree = new BinaryTree();
Node head = new Node(6);
tree.insertNode(head);
tree.insertNode(new Node(3));
tree.insertNode(new Node(10));
tree.insertNode(new Node(1));
tree.insertNode(new Node(2));
tree.insertNode(new Node(8));
tree.insertNode(new Node(7));
//when
//then
List<Integer> bfs = tree.bfs(head);
List<Integer> bfsRes = Arrays.asList(6, 3, 10, 1, 8, 2, 7);
Assertions.assertEquals(bfs, bfsRes);
System.out.println(StringUtils.join(bfs, ", "));
System.out.println("===");
List<Integer> dfs = tree.dfs(head);
List<Integer> dfsRes = Arrays.asList(6, 3, 1, 2, 10, 8, 7);
Assertions.assertEquals(dfs, dfsRes);
System.out.println(StringUtils.join(dfs, ", "));
}
}

'Web > Java' 카테고리의 다른 글
| [Java] HashSet과 HashMap에서 equals 오버라이딩시 hashCode도 재정의 해주어야 하는 이유 (0) | 2021.07.16 |
|---|---|
| [Java] 상속 (1) | 2021.07.13 |
| [Java] 클래스 (0) | 2021.07.08 |
| [Java] LinkedList, Stack, Queue (0) | 2021.07.07 |
| [Java] GitHub API를 이용한 대시보드 만들기 (2) | 2021.07.05 |